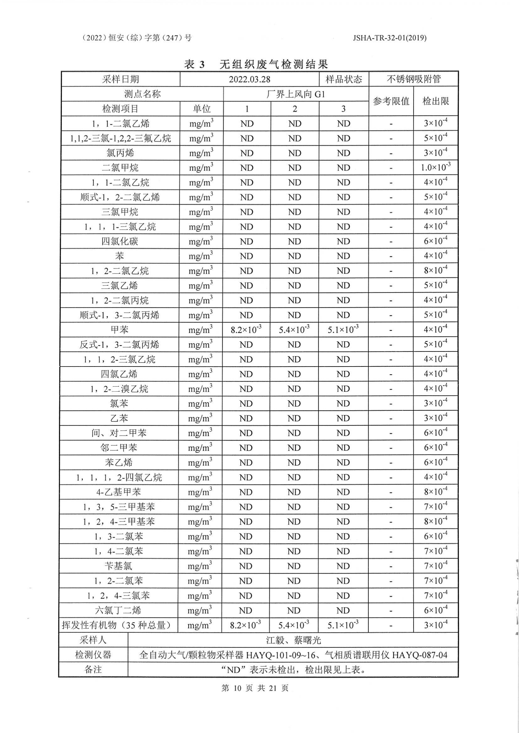
2022.4.30检测报告废水 废气 噪声
发布时间:
2022-08-03




















相关新闻
关注捕鱼达人手机版
南通天地和环保科技有限公司
电话:
邮箱:
地址:启东滨海高新技术开发区聚海路2号
捕鱼达人手机版 copyright © 2023 南通天地和环保科技有限公司
| seo标签丨
2022.4.30检测报告废水 废气 噪声
发布时间:
2022-08-03




















相关新闻
关注捕鱼达人手机版
南通天地和环保科技有限公司
电话:
邮箱:
地址:启东滨海高新技术开发区聚海路2号
捕鱼达人手机版 copyright © 2023 南通天地和环保科技有限公司
| seo标签丨